CẬP NHẬT NỘI DUNG NGHỊ ĐỊNH 122/2026/NĐ-CP VỀ VIỆC XỬ LÝ VƯỚNG MẮC CỦA DỰ ÁN BOT GIAO THÔNG
Ngày 03 tháng 04 năm 2026, Chính phủ ban hành Nghị định số 122/2026/NĐ-CP quy định chi tiết về việc xử lý vướng mắc của dự án BOT giao thông (“Nghị định 122”). Nghị định 122 có hiệu lực thi hành từ ngày ký (03/04/2026).
Trong bài viết này, luật sư của BFSC Law LLC sẽ cập nhật một số nội dung Nghị định 122 với mong muốn cung cấp thông tin sơ lược về Nghị định 122 để Khách hàng tham khảo.
(1) Những dự án BOT có vướng mắc được điều chỉnh bởi Nghị định 122
Theo Điều 1 Nghị định 122, Nghị định 122 quy định chi tiết về việc xử lý vướng mắc đối với các dự án BOT trong lĩnh vực đường bộ có hợp đồng được ký kết trước ngày 01/01/2021 và dự án BOT giao thông trong giai đoạn vận hành, kinh doanh có hợp đồng được ký kết trước ngày 01/01/2021, cụ thể về các vấn đề sau:
(i) Xử lý vướng mắc giảm doanh thu của dự án BOT trong lĩnh vực đường bộ có hợp đồng được ký kết trước ngày 01/01/2021 theo quy định tại Điều 99a Luật đầu tư theo phương thức đối tác công tư (“Luật PPP”); và
(ii) Điều kiện chi trả và nguyên tắc xác định chi phí bồi thường, chấm dứt hợp đồng trước thời hạn theo quy định tại điểm a khoản 2a Điều 52 Luật PPP đối với dự án BOT giao thông trong giai đoạn vận hành, kinh doanh có hợp đồng được ký kết trước ngày 01/01/2021.
Cần để ý rằng, theo Điều 2 Nghị định 122 thì, “dự án BOT giao thông” là dự án đầu tư kết cấu hạ tầng giao thông theo hình thức hợp đồng BOT; và “dự án BOT trong lĩnh vực đường bộ” là dự án đầu tư kết cấu hạ tầng đường bộ theo hình thức hợp đồng BOT.
(2) Xử lý vướng mắc giảm doanh thu của các dự án BOT trong lĩnh vực đường bộ
(2.1) Quy định tại Điều 99a Luật PPP
Theo Điều 99a Luật PPP, dự án BOT trong lĩnh vực đường bộ có hợp đồng được ký kết trước ngày 01 tháng 01 năm 2021, Nhà nước chia sẻ với nhà đầu tư, doanh nghiệp dự án PPP theo tỷ lệ phần chênh lệch giữa doanh thu trong phương án tài chính và doanh thu thực tế khi đáp ứng các điều kiện:
(i) Dự án bị ảnh hưởng do thay đổi quy hoạch, chính sách, pháp luật có liên quan của Nhà nước, sau khi áp dụng các biện pháp điều chỉnh theo quy định của pháp luật và tính toán điều chỉnh mức phí sử dụng dịch vụ đường bộ, thời hạn hợp đồng dự án nhưng doanh thu thực tế của 03 năm gần nhất đạt dưới 75% mức doanh thu trong phương án tài chính tại hợp đồng dự án PPP và phương án tài chính vẫn không đảm bảo hiệu quả;
(ii) Hợp đồng dự án chưa quy định nội dung áp dụng cơ chế chia sẻ phần tăng, giảm doanh thu;
(iii) Cơ quan ký kết hợp đồng đã đàm phán với nhà đầu tư, doanh nghiệp dự án và bên cho vay về tỷ suất lợi nhuận trên vốn chủ sở hữu, lãi suất vốn vay, phương án trả nợ trong phương án tài chính và kết quả là phương án tài chính được điều chỉnh không đảm bảo tính khả khả thi;
(iv) Đã được kiểm toán Nhà nước thực hiện kiểm toán phần giảm doanh thu và số tiền Nhà nước chia sẽ phần giảm doanh thu.
Cũng theo Điều 99a Luật PPP, việc chia sẻ phần giảm doanh thu được thực hiện một lần và không phải điều chỉnh chủ trương đầu tư, điều chỉnh dự án. Bộ trưởng, Chủ tịch UBND cấp tỉnh quyết định việc áp dụng chia sẻ phần giảm doanh thu và tỷ lệ chia sẻ đối với dự án do mình phê duyêt theo quy định của Chính phủ, đảm bảo công bằng, minh bạch, không làm phát sinh tăng chi phí sử dụng đường bộ và thời gian thu phí theo hợp đồng đã ký.
(2.2) Các quy định của Nghị định 122
(2.2.1) Xác định dự án có phương án tài chính không đảm bảo hiệu quả theo quy định tại điểm a khoản 2 Điều 99a Luật PPP
Theo Điều 4 Nghị định 122, dự án BOT trong lĩnh vực đường bộ quy định tại điểm a khoản 2 Điều 99a Luật PPP được xác định có phương án tài chính không đảm bảo hiệu quả là dự án thuộc một trong các trường hợp sau đây:
(i) Dự án phải điều chỉnh giảm số lượng trạm thu phí do thay đổi quy hoạch, chính sách, pháp luật có liên quan của Nhà nước theo đề xuất của một trong các bên ký kết hợp đồng và được cơ quan có thẩm quyền chấp thuận.
(ii) Phương án tài chính sau khi áp dụng để tính toán các biện pháp điều chỉnh theo quy định tại điểm c khoản 2 Điều 82 Luật PPP (điều chỉnh mức giá, phí sản phẩm, dịch vụ công cao nhất của khung giá) và tính toán điều chỉnh mức phí sử dụng dịch vụ đường bộ có thời gian thu phí đến 50 năm nhưng chưa đảm bảo mức doanh thu để chi trả các khoản thuế, phí phải nộp; chi phí quản lý, vận hành khai thác và bảo trì công trình dự án, gốc vay và lãi vay theo phương án tài chính tại hợp đồng dự án.
(2.2.2) Nội dung đàm phán, thống nhất giữa cơ quan ký kết hợp đồng, nhà đầu tư, doanh nghiệp dự án và bên cho vay theo quy định tại điểm c, khoản 2 Điều 99a Luật PPP
(i) Xác định mức giảm tỷ suất lợi nhuận trên vốn chủ sở hữu, lãi suất vốn vay, điều chỉnh phương án trả nợ trong phương án tài chính;
(ii) Cập nhật tỷ lệ, mức vốn Nhà nước chia sẻ phần giảm doanh thu, tỷ suất lợi nhuận trên vốn chủ sở hữu, lãi suất vốn vay, điều chỉnh phương án trả nợ, tính toán phương án tài chính điều chỉnh đảm bảo khả thi.
(2.2.3) Tỷ lệ chia sẻ phần giảm doanh thu
(i) Nhà nước chia sẻ phần giảm doanh thu với nhà đầu tư, doanh nghiệp dự án theo tỷ lệ phần chênh lệch giữa doanh thu trong phương án tài chính và doanh thu thực tế (tỷ lệ k).
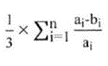
(ii) Tỷ lệ chia sẻ phần giảm doanh thu (k) được xác định không quá 75% tỷ lệ bình quân giữa mức doanh thu trong phương án tài chính của dự án trong 03 năm gần nhất, trong đó mức doanh thu bị sụt giảm được xác định bằng doanh thu trong phương án tài chính trừ đi doanh thu thực tế và được xác định theo công thức sau:
Tỷ lệ chia sẻ phần giảm doanh thu k ≤ 75% x
Trong đó:
ai: doanh thu năm thứ i trong phương án tài chính theo hợp đồng được ký kết trước thời điểm dự án bị ảnh hưởng do thay đổi quy hoạch, chính sách, pháp luật có liên quan của Nhà nước.
bi: doanh thu thực tế tại năm thứ i.
n: là 3 (03 năm gần nhất trước thời điểm tính toán).
(iii) Mức vốn nhà nước chia sẻ phần giảm doanh thu
Mức vốn nhà nước chia sẻ phần giảm doanh thu được xác định bằng tỷ lệ chia sẻ phần giảm doanh thu (k) nhân với tổng mức đầu tư dự án.
Mức vốn nhà nước chia sẻ = k x T
Trong đó:
k được xác định theo khoản 2 Điều này;
T là tổng mức đầu tư dự án xác định theo quyết định phê duyệt dự án hoặc quyết định phê duyệt điều chỉnh dự án, điều chỉnh tổng mức đầu tư (nếu có). Tổng mức đầu tư dự án quy định tại khoản này không bao gồm phần vốn nhà nước trong dự án quy định tại điểm a và điểm c khoản 1 Điều 69 Luật PPP.
Lưu ý: Mức vốn nhà nước chia sẻ phần giảm doanh thu bảo đảm vốn nhà nước trong dự án (bao gồm vốn nhà nước quy định tại điểm a và điểm c khoản 1 Điều 69 Luật PPP và vốn nhà nước chia sẻ phần giảm doanh thu tại điểm a khoản này) không quá 50% tổng mức đầu tư của dự án hoặc không quá 70% tổng mức đầu tư của dự án trong trường hợp quy định tại điểm a, điểm b khoản 2a và khoản 2b Điều 69 Luật PPP.
(2.2.4) Các quy định khác của Nghị định 122 về xử lý vướng mắc đối với dự án BOT đường bộ bị giảm doanh thu
Nghị định 122 cũng quy định trách nhiệm của nhà đầu tư, doanh nghiệp dự án, cơ quan ký hết hợp đồng, bên cho vay trong việc rà soát, tính toán và điều chỉnh phương án tài chính và đàm phán, thỏa thuận để xác định dự án có thuộc đối tượng được chia sẻ giảm doanh thu hay không, lập phương án tài chính điều chỉnh và tính toán mức vốn nhà nước phải chia sẻ làm cơ sở để tiến hành các thủ tục đề nghị Nhà nước chia sẻ phần giảm doanh thu.
Nghị định 122 cũng quy định trình tự, thủ tục thực hiện chia sẻ giảm doanh thu của Nhà nước đối với nhà đầu tư, doanh nghiệp dự án.
(3) Điều kiện chi trả, nguyên tắc xác định chi phí bồi thường, chấm dứt hợp đồng trước thời hạn dự án BOT giao thông
(3.1) Quy định tại Điều 52 của Luật PPP
Theo quy định tại Điều 52.2 và Điều 52.2a Luật PPP thì Nhà đầu tư, doanh nghiệp dự án PPP được chi trả chi phí trong các trường hợp chấm dứt hợp đồng trước thời hạn sau đây:
- Thuộc một trong các trường hợp dưới đây và hợp đồng dự án xác định thuộc trách nhiệm chi trả của cơ quan ký kết hợp đồng
- Dự án bị ảnh hưởng bởi sự kiện bất khả kháng, quy hoạch, chính sách, pháp luật có liên quan thay đổi mà các bên đã thực hiện các biện pháp khắc phục nhưng không bảo đảm việc tiếp tục thực hiện hợp đồng dự án PPP;
- Vì lợi ích quốc gia; bảo đảm yêu cầu về quốc phòng, an ninh quốc gia, bảo vệ bí mật nhà nước;
- Khi một trong các bên trong hợp đồng vi phạm nghiêm trọng việc thực hiện các nghĩa vụ quy định tại hợp đồng.
- Khi một trong các bên trong hợp đồng vi phạm nghiêm trọng việc thực hiện các nghĩa vụ quy định tại hợp đồng do lỗi của cơ quan ký kết hợp đồng.
(3.2) Quy định của Nghị định 122
(3.2.1) Những trường hợp được chi trả chi phí chấm dứt hợp đồng trước thời hạn theo Nghị định 122
Nghị định 122 quy định nhà đầu tư, doanh nghiệp dự án được chi trả chi phí bồi thường, chấm dứt hợp đồng trước thời hạn đối với dự án BOT giao thông trong giai đoạn vận hành, kinh doanh có hợp đồng được ký kết trước ngày 01/01/2021 theo quy định tại điểm a khoản 2a Điều 52 Luật PPP nếu đáp ứng một trong các trường hợp sau đây:
(i) Dự án hoặc hạng mục công trình thuộc dự án đã hoàn thành theo quy định của pháp luật về xây dựng và đưa vào khai thác, sử dụng tối thiểu 2 năm nhưng nhà đầu tư, doanh nghiệp dự án không được thu phí để hoàn vốn theo hợp đồng dự án.
(ii) Dự án bị sụt giảm doanh thu, các bên đã tính toán phương án tài chính điều chỉnh trên cơ sở dự kiến mức vốn nhà nước chia sẻ phần giảm doanh thu theo Điều 6 Nghị định 122, giảm tỷ suất lợi nhuận trên vốn chủ sở hữu, giảm lãi suất vốn vay theo Điều 7 Nghị định 122. Sau khi tính toán, dự án có thời gian thu phí đến 50 năm nhưng chưa bảo đảm mức doanh thu để chi trả: các khoản thuế, phí phải nộp; chi phí quản lý, vận hành khai thác và bảo trì công trình dự án; gốc vay và lãi vay theo phương án tài chính điều chỉnh.
Điều cần lưu ý là Nghị định 122 không quy định xử lý chi trả chi phí bồi thường, chấm dứt hợp đồng trước thời hạn đối với dự án BOT giao thông trong giai đoạn vận hành, kinh doanh có hợp đồng được ký kết trước ngày 01/01/2021 theo quy định tại điểm b khoản 2a Điều 52 Luật PPP (trường hợp một trong các bên trong hợp đồng vi phạm nghiêm trọng việc thực hiện các nghĩa vụ quy định tại hợp đồng do lỗi của cơ quan ký kết hợp đồng).
(3.2.2) Xác định chi phí bồi thường, chấm dứt hợp đồng trước thời hạn
Chi phí bồi thường, chấm dứt hợp đồng trước thời hạn được xác định bằng tổng chi phí quy định tại điểm a, b, c, đ và e khoản 1 Điều 10 Nghị định 122 sau khi khấu trừ doanh thu thu phí và các nguồn thu khác (nếu có) quy định tại điểm d khoản 1 Điều 10 Nghị định 122, cụ thể như sau:
(i) Tổng cho phí được xác định bao gồm các khoản:
– Tổng vốn đầu tư xây dựng công trình dự án (bao gồm lãi vay trong giai đoạn xây dựng, không bao gồm vốn nhà nước tham gia thực hiện dự án) xác định theo giá trị quyết toán sau khi đã thực hiện giảm trừ khoản thuế giá trị gia tăng doanh nghiệp dự án được hoàn, giảm trừ chi phí theo kết luận của cơ quan thanh tra, Kiểm toán nhà nước (nếu có);
– Chi phí quản lý, vận hành khai thác và bảo trì công trình dự án xác định theo xác nhận của cơ quan ký kết hợp đồng;
– Các khoản thuế, phí doanh nghiệp dự án theo thực tế thực hiện sau khi đã khấu trừ khoản thuế giá trị gia tăng theo quy định (nếu có);
– Chi phí kiểm toán độc lập (nếu có);
– Chi phí huy động vốn vay xác định theo nguyên tắc tại khoản 3 Điều 10 Nghị định 122.
(ii) Doanh thu thu phí dịch vụ và các nguồn thu khác (nếu có) xác định theo xác nhận của cơ quan ký kết hợp đồng;
Cần lưu ý rằng, Nghị định 122 quy định không tính lợi nhuận vốn chủ sở hữu của nhà đầu tư trong chi phí bồi thường, chấm dứt hợp đồng trước thời hạn.
(3.2.3) Xác định chi phí huy động vốn vay
Chi phi huy động vốn vay được xác định bằng số vốn vay nhân với tỷ suất P. Thời gian tính chi phí huy động vốn vay từ thời điểm công trình dự án đưa vào vận hành, kinh doanh đến thời điểm cơ quan có thẩm quyền quyết định việc chấm dứt hợp đồng trước thời hạn.
Trong đó:
Tỷ suất P (%/năm): xác định trên cơ sở kết quả đàm phán giữa nhà đầu tư, doanh nghiệp dự án và tổ chức tín dụng (bên cho vay) nhưng không vượt quá 4%/năm.
Vi: số vốn vay tại năm thứ 1, được xác định trên cơ sở giá trị giải ngân vốn vay thực tế và giá trị vốn đầu tư được quyết toán, bảo đảm không vượt quá tỷ lệ quy định tại hợp đồng dự án PPP. Số vốn vay không bao gồm phần vốn vay đã thanh toán từ nguồn doanh thu quy định tại điểm d khoản 1 Điều này (nếu có).
n: là số năm, được xác định từ thời điểm công trình dự án đưa vào vận hành, kinh doanh đến thời điểm cơ quan có thẩm quyền quyết định việc chấm dứt hợp đồng trước thời hạn. Trường hợp một phần vốn vay được giải ngân sau thời điểm dự án đưa vào vận hành, kinh doanh thì số năm được xác định từ thời điểm giải ngân phần vốn vay đến thời điểm cơ quan có thẩm quyền quyết định việc chấm dứt hợp đồng trước thời hạn.
(3.3) Trình tự thanh toán chi phí bồi thường, chấm dứt hợp đồng trước thời hạn
Điều 11 Nghị định 122 quy định chi tiết về trình tự thanh toán chi phí bồi thường, chấm dứt hợp đồng trước thời hạn đối với dự án BOT giao thông thuộc đang trong giai đoạn vận hành, kinh doanh có hợp đồng được ký kết trước ngày 01/01/2021 theo quy định tại điểm a khoản 2a Điều 52 Luật PPP bao gồm các bước chủ yếu sau đây:
(3.3.1) Bước 1: Nhà đầu tư gửi đề nghị chấm dứt hợp đồng dự án PPP trước thời hạn.
Nhà đầu tư, doanh nghiệp dự án có văn bản gửi cơ quan ký kết hợp đồng đề nghị chấm dứt hợp đồng dự án PPP trước thời hạn theo quy định của Chính phủ quy định chi tiết một số điều của Luật PPP (Nghị định 243/2025/NĐ-CP), kèm theo các tài liệu được quy định tại khoản 1 Điều 11 Nghị định 122.
(3.3.2) Bước 2: Cơ quan ký kết hợp đồng rà soát hồ sơ
Trong vòng 45 ngày kể từ ngày nhận đủ hồ sơ, cơ quan ký kết hợp đồng thực hiện rà soát hồ sơ do Nhà đầu tư gửi ở bước 1. Căn cứ kết quả rà soát hồ sơ, Cơ quan ký kết hợp đồng quyết định một trong hai phương án sau:
(i) Trường hợp phù hợp với quy định tại Điều 9 và Điều 10 Nghị định 122, cơ quan ký kết hợp đồng phối hợp với nhà đầu tư, doanh nghiệp dự án và bên cho vay ký kết biên bản thỏa thuận về điều kiện chấm dứt hợp đồng dự án trước thời hạn theo quy định của Chính phủ quy định chi tiết một số điều của Luật PPP.
(ii) Trường hợp không phù hợp với quy định tại Điều 9 và Điều 10 Nghị định 122, cơ quan ký kết hợp đồng thông báo từ chối việc thanh toán, chấm dứt hợp đồng đến nhà đầu tư, doanh nghiệp dự án (trong đó nêu rõ lý do từ chối thanh toán, chấm dứt hợp đồng).
(3.3.3) Bước 3: Sửa đổi, bổ sung nội dung hợp đồng; kiểm toán chi phí bồi thường, chấm dứt hợp đồng; trình Cơ quan có thẩm quyền quyết định chấm dứt hợp đồng trước thời hạn
(3.3.4) Bước 4: Thanh toán chi phí bồi thường, chấm dứt hợp đồng trước thời hạn.
(3.4.5) Bước 5: Thực hiện thủ tục bàn giao, tiếp nhận dự án, thực hiện thủ tục xác lập quyền sở hữu toàn dân theo quy định của pháp luật về quản lý, sử dụng tài sản công.
Tuyên bố miễn trừ: Nội dung bài viết thể hiện quan điểm cá nhân của người viết bài và chỉ mang ý nghĩa cung cấp thông tin pháp luật để tham khảo, không phải là quan điểm tư vấn pháp luật của người viết bài hay của BFSC Law LLC với một tình huống tương tự của Khách hàng. Do đó, BFSC Law LLC và tác giả bài viết tuyên bố miễn trừ mọi trách nhiệm và thiệt hại xảy ra đối với Khách hàng trong trường hợp Khách hang sử dụng hoặc diễn giải các nội dung được đề cập trong bài viết để áp dụng cho một tình huống thực tế. Trong mọi trường hợp, các vấn đề pháp lý thực tế của dự án tương tự phải được xem xét, thẩm định chi tiết bởi các luật sư có kinh nghiệm và BFSC Law LLC, luật sư tư vấn chỉ chịu trách nhiệm đối với các ý kiến tư vấn chính thức đối với từng yêu cầu tư vấn.
Quý khách hang có nhu cầu tư vấn về việc chấm dứt hợp đồng trước thời hạn đối với các dự án BOT giao thông, dự án BOT đường bộ theo quy định của Nghị định 122, vui long liên hệ với BFSC Law LLC tại đây.
Mọi trao đổi liên quan đến nội dung bài viết, xin liên hệ với tác giả bài viết:
| Luật sư Phan Quang Chung | Email: [email protected] | Trợ lý luật sư Trần Hồng Hạnh | Email: [email protected] |



